1: 名無しさん@ 2024/05/27(月) 00:14:28.55 ID:Jo9sAPmZ9

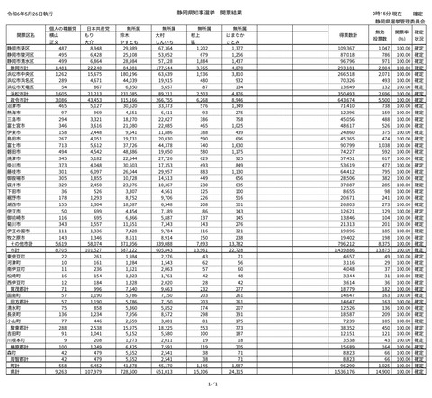
15年ぶりに新人どうしの争いとなった静岡県知事選挙は、立憲民主党と国民民主党が推薦した元浜松市長の鈴木康友氏(66)が自民党が推薦した元副知事らを抑え、初めての当選を果たしました。
鈴木氏は浜松市出身で66歳。
衆議院議員を2期務めたあと、2007年の浜松市長選挙で初当選し、4期16年務めました。 (略)
引用元ソース
【開票速報】静岡県知事選挙2024 元浜松市長の鈴木康友氏が初当選 立民・国民推薦 | NHK | 選挙
https://www3.nhk.or.jp/news/html/20240526/k10014458501000.html
2024年5月27日 0時03分
※関連
第21回静岡県知事選挙 開票状況|静岡県公式
https://www.pref.shizuoka.jp/kensei/senkyo/kenchiji2024/result_count.html
17: 名無しさん@ 2024/05/27(月) 00:24:18.22 ID:lz5/2fmh0
https://www3.nhk.or.jp/senkyo2/shizuoka/20617/skh54961.html
>>1
静岡県知事選挙2024の結果はここを見ろ
SBSや静岡朝日等のメディアよりくわしい
開票所別のボタン有り
>>1
静岡県知事選挙2024の結果はここを見ろ
SBSや静岡朝日等のメディアよりくわしい
開票所別のボタン有り
22: 名無しさん@ 2024/05/27(月) 00:25:44.96 ID:b0X1S6dv0
>>1
自民党にお灸をすえるとして国民にお灸をすえてしまったのが悪夢の民主党政権。
有能な野党が育たないかぎり、自民党を下野させても国民生活の水準が下がるだけだよ。
いま必要なことは議席を占有している無能な野党を落選させ有能な野党を育てること。
政権交代はその後のはなしだよ。
自民党にお灸をすえるとして国民にお灸をすえてしまったのが悪夢の民主党政権。
有能な野党が育たないかぎり、自民党を下野させても国民生活の水準が下がるだけだよ。
いま必要なことは議席を占有している無能な野党を落選させ有能な野党を育てること。
政権交代はその後のはなしだよ。
517: 名無しさん@ 2024/05/27(月) 01:12:29.61 ID:Jo9sAPmZ9
549: 名無しさん@ 2024/05/27(月) 01:16:47.97 ID:ShsCbGrx0
>>517
大村が圧勝してるのは静岡市だけじゃん
大村が圧勝してるのは静岡市だけじゃん
4: 名無しさん@ 2024/05/27(月) 00:16:45.44 ID:8goY4weK0
これでリニア計画が進むのかな
8: 名無しさん@ 2024/05/27(月) 00:20:05.62 ID:WEE8ngau0
>>4
本当は反対派だよ
空気読んで、反対じゃないみたいな風ふかしただけ
本当は反対派だよ
空気読んで、反対じゃないみたいな風ふかしただけ
9: 名無しさん@ 2024/05/27(月) 00:20:12.90 ID:sB6/hXKm0
立憲・国民推薦というよりスズキ・連合推薦だな
18: 名無しさん@ 2024/05/27(月) 00:24:26.51 ID:yeFaRwdV0
26: 名無しさん@ 2024/05/27(月) 00:26:05.13 ID:ZQ3ml2bI0
>>18
何で真ん中が白いの?
何で真ん中が白いの?
33: 名無しさん@ 2024/05/27(月) 00:27:20.31 ID:iM8wf0FY0
相変わらずの反日県やな。
55: 名無しさん@ 2024/05/27(月) 00:29:45.69 ID:PLTrYOAu0
はい、リニア中止!
111: 名無しさん@ 2024/05/27(月) 00:35:47.42 ID:OFqNjQwM0
112: 名無しさん@ 2024/05/27(月) 00:35:48.62 ID:ZL+PfUmL0
リニア進むんならええやん
118: 名無しさん@ 2024/05/27(月) 00:36:46.29 ID:vqClHZ+I0
128: 名無しさん@ 2024/05/27(月) 00:37:46.20 ID:ShsCbGrx0
>>118
これだと県全体では大村が勝ちそうなんだがw
これだと県全体では大村が勝ちそうなんだがw
129: 名無しさん@ 2024/05/27(月) 00:37:53.95 ID:sB6/hXKm0
川勝があまりにも酷すぎたからどっちがやってもまともな知事に見えるだろう





コメント
コメント一覧 (12)
推薦って増えまくっているが何なのか??
党所属議員となるわけでもないんだろ?
無責任すぎない?
利権関係で公金チューチューする関係なだけか?
nightwin772
が
しました
nightwin772
が
しました
nightwin772
が
しました
nightwin772
が
しました
nightwin772
が
しました
nightwin772
が
しました
nightwin772
が
しました
議会の円滑化や国とのパイプを考えると大村だったんだろうがネガティブな事もそのまま飲むだろうし。
nightwin772
が
しました
神聖不可侵な鈴木修皇帝(SUZUKI相談役)と親しい元浜松市長の鈴木康友が遠江票のゴリ押しで勝ったと
ちなみに勝った鈴木康友もリニア推進派だからそこは心配せんでええ
nightwin772
が
しました
nightwin772
が
しました
ゴキブリホイホイみたいな。
nightwin772
が
しました
コメントする